|
|
|
 |
产品中心>>管道过滤器 |
| |
六、管式反应器的计算
理想管式反应器基本方程式
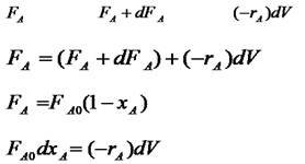
流入量= 流出量 + 反应量 + 累积量
为理想管式反应器的基本方程式。无论是等温、变温或反应过程中反应物料的总摩尔数是否发生变化均可适用,只要满足平推流这一假定即可。
在下列两种情况下可以直接进行求解:
◆等温理想管式反应器。反应速率常数为常数。
◆绝热理想管式反应器。反应的热效应全部用作加热或冷却反应物料,反应物料沿反应器长度温度变化可以用热量衡算与反应转化率关联。反应速率常数可转化为转化率的函数。
除上述两种情况,对于非绝热非等温过程,需结合热量衡算式联立求解。对于反应器压降较大的,如管式裂解反应器,还需要再与动量衡算式联立求解。
对装有固体催化剂的固定床反应器,只要满足平推流的基本假定,同样可以适用。
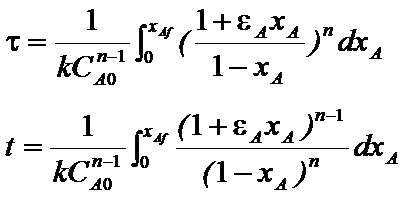
空时、空速和停留时间
空时
空速
停留时间
对于恒容过程,系统物料的密度不随反应转化率而变,即v=v0 ,所以空时和停留时间两者相等。对于非恒容过程,反应器内物料的体积流率随反应转化率而变化,因此空时和停留时间两者就有差异。
对于等温恒容过程,只要把理想管式反应器空时t代之理想间歇反应器中的反应时间t,则在理想间歇反应器中的结论完全适用于理想管式反应器。
等温等容理想管式反应器中简单反应的结果
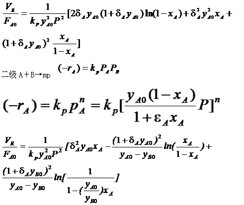
反应前后分子数变化的气相反应
◆在间歇反应器中分子数发生变化的气相反应,由于反应器的容积恒定,其结果使反应系统的总压变化,称之为恒容过程。
◆在连续流动的理想管式反应器中进行的气相反应,反应物料从反应器进口加入,如果忽略物料在管内流动的压力降,则反应器进口和出口系统压力不变,称之为恒压过程。
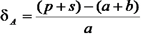
表征反应前后分子数变化程度的方法有膨胀率法和膨胀因子法。
膨胀率法
基于物系体积随转化率呈线性关系,即
上式表示反应在等温等压下进行。
膨胀率的定义是反应组分A全部转化后系统体积变化的分率,即
膨胀因子法
膨胀因子的定义是原料A消耗一衡分子时,反应系统总衡分子数的变化,对反应
aA+bB → pP+sS
只是反应速率表达式应把体积变化这一因素考虑进去,当用浓度表示反应速率时
理想管式反应器中空时和平均停留时间计算式相应为
只有当反应前后分子数不变时,空时和平均停留时间两者相等。
一、管式反应器的概述
二、管式反应器的特点
三、管式反应器的分类
四、管式反应器的日常维护
五、管式反应器故障分析及处理
六、管式反应器的计算
七、管式反应器生产实例
|
|
|
|